Making Digital Gold is a content viewing platform designed to facilty the viewing experianced.
Cost Accounting: Espresso Express operates a number of espresso coffee stands in busy suburban malls
February 15, 2025:Espresso Express operates a number of espresso coffee stands in busy suburban malls. The fixed weekly expense of a coffee stand is $2,400 and the variable cost per cup of coffee served is $0.69. Requi
More Videos from saxi753

Toán 12: Hàm số: Số lượt tải xuống (đơn v...
December 10, 2025

Toán 12: Một ôtô đang chạy với vận tốc 18 k...
December 10, 2025

THPT Nguyễn Khuyến: Từ một tấm bìa hình chữ...
December 10, 2025

Toán 12: Hàm số: Một công ty tái chế cần vậ...
December 10, 2025

CFA: Một người bắt đầu đi làm được nhận...
December 09, 2025

Toán 10: Bác An có một mảnh vườn hình tam giá...
December 09, 2025

Toán 12: Đường thẳng nối P và Q cắt hai đư...
December 09, 2025

Toán 11: THPT Nguyễn Khuyến: Một khối gỗ có d...
December 09, 2025

Toán 12: Hình Oxyz: Trong không gian với hệ tọa ...
December 08, 2025

Toán 11: Cấp số nhân: Anh Dũng kí hợp đồng l...
December 08, 2025

Toán 12: Sau khi một bệnh nhân uống một liều ...
December 08, 2025

Toán 12: Góc nhị diện: . Cho hình chóp S.ABC có ...
December 08, 2025

Toán 10: Tam giác: Trong không gian Oxy, cho ba điể...
December 08, 2025

Toán 10: Chương trình mới: Trong không gian Oxy, c...
December 08, 2025

Toán 11: Hàm mũ: Một công ty mua một chiếc máy...
December 08, 2025

Toán 12: Công ty A chuyên sản xuất một loại s...
December 08, 2025

Toán 10: Hình học Oxy: Cho hình vuông ABCD có cạ...
December 08, 2025

Toán 12: Nguyên hàm-Tích phân: Parabol f(x) =-x^2 + ...
December 07, 2025

Toán 12: Một đồ chơi có dạng hình tứ diện ...
December 07, 2025

Toán 11: Hình phiến trụ: Một bình trụ tròn đ...
December 07, 2025

Toán 12: Tọa độ hóa: Cho hình chóp S.ABCD có đ...
December 07, 2025

Toán 10: Chương trình mới: Trong không gian Oxy, t...
December 07, 2025

Toán 10: Trong không gian Oxy, mỗi đơn vị trên t...
December 07, 2025

Toán 12: Một gia đình lắp thang máy trong nhà ...
December 07, 2025

Toán 11: Chia kẹo Euler: Trong ngày Tết Âm Lịch,...
December 07, 2025

Toán 12: Hình học Oxyz: Trong không gian Oxyz, cho h...
December 07, 2025

Toán 11: Đạo hàm: Một con kiến đậu ở đầu...
December 06, 2025

Toán 12: Hàm số: Trong tập phim Zootopia, một ph...
December 06, 2025

Nguyên hàm bằng công thức Ostrogradski (Ostrograds...
December 06, 2025

Toán 11: Hai người tham gia một trò chơi di chuy...
December 06, 2025

Toán 11: Xác suất: Gọi S là tập hợp các số ...
December 06, 2025

THPT Nguyễn Khuyến: Một chú tiểu cường từ v...
December 05, 2025

Reference of Pawbert Lynxley - Zootopia 2 from The Shinin...
December 05, 2025

Toán 12: Tọa độ hóa: Cho hình chóp S.ABCD có đ...
December 05, 2025

THPT Nguyễn Đăng Đạo: Cho hàm số f(x) = log 3 (...
December 03, 2025

THPT Nguyễn Đăng Đạo: Một vật đang đứng y...
December 03, 2025

Toán 11: Xác suất: Một nhóm các nhà khoa học g...
December 03, 2025

THPT Nguyễn Khuyến 2026: Ông Quyết có một cái ...
December 03, 2025
![THPT Nguyễn Đăng Đạo: Gọi S là tập hợp tất cả các giá trị của a thuộc [π;10π] sao cho tích phân](https://1a-1791.com/video/fwe2/42/s8/1/C/q/R/E/CqREz.qR4e-small-THPT-Nguyn-ng-o-Gi-S-l-tp-h.jpg)
THPT Nguyễn Đăng Đạo: Gọi S là tập hợp tấ...
December 02, 2025

THPT Nguyễn Đăng Đạo: Xác suất: Trong mặt ph...
December 02, 2025

Toán 11: Xác suất: Trong một ngày cưới giữa c...
December 02, 2025

THPT Nguyễn Đăng Đạo: Một cái lều có dạng ...
December 02, 2025

THPT Nguyễn Đăng Đạo: Một người dùng ba lo...
December 02, 2025

THPT Nguyễn Đăng Đạo: Cho tứ diện ABCD có AB=...
December 02, 2025

Best Buy on Sunday Cyber - Price of PC and Laptop in 2025
December 01, 2025

Toán 12: Một viên gạch hình vuông có cạnh bằ...
December 01, 2025
![Toán 11: Chọn ngẫu nhiên 5 số tự nhiên thuộc đoạn [1;16] và xếp vào 5 ô theo hàng ngang](https://1a-1791.com/video/fww1/d0/s8/1/S/H/k/E/SHkEz.qR4e-small-Ton-11-Chn-ngu-nhin-5-s-t-n.jpg)
Toán 11: Chọn ngẫu nhiên 5 số tự nhiên thuộc...
November 30, 2025

Toán 12: Tích phân mặt cắt: Tính thể tích củ...
November 30, 2025

Toán 11: Hình nón: Cho tam giác ABC vuông tại B. N...
November 30, 2025

Toán 11: Tọa độ hóa: Cho hình chóp S.ABCD có SA...
November 30, 2025

Toán 12: Cho hình chóp đều S.ABCD có đáy ABCD l...
November 29, 2025

Toán 11: Xác suất: Cho tập hợp S gồm 15 số t...
November 28, 2025

Toán 11: Xác suất: Chọn ngẫu nhiên bốn số t...
November 28, 2025

THPT Nguyễn Khuyến 2026: Diện tích bao phủ của...
November 28, 2025

Gấp giấy tạo hình con tôm cơ bản - How to make...
November 28, 2025

Toán 12: Hàm số: iả sử giá của một cổ phi...
November 27, 2025

Toán 11: Chia kẹo Euler: Trước khi kết thúc kỳ...
November 27, 2025

THPT Nguyễn Khuyến 2026: Trong một cảnh dựng ph...
November 27, 2025

Toán 9: Giải hệ phương trình { (x^2+2y+3=y^2+4x@x...
November 26, 2025

Toán 12: Cho đường tròn tâm (O), bán kính bằng...
November 26, 2025

Toán 12: Trong không gian (Oxyz)Một con ong xuất ph...
November 26, 2025

Toán 12: Một vật chuyển động trong 3 giờ vớ...
November 26, 2025

THPT Nguyễn Khuyến 2026: Có 25 chai rượu Vang Opu...
November 25, 2025

Toán 12-10: Hình Oxyz+Oxy: Cho M(0;0;4) N( 3/2 ;2;6) v...
November 25, 2025

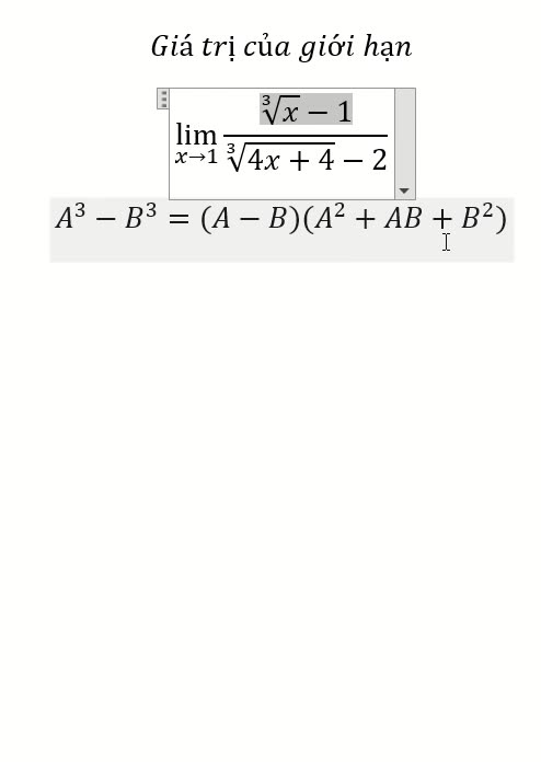
Toán 11: Giá trị của giới hạn lim (x→1) (...
November 23, 2025

Cho các số thực a,b,c đôi một khác nhau thỏa ...
November 23, 2025

Bất đẳng thức Cauchy: Cho 3 số thực dương a,...
November 23, 2025

Toán 11: Cho tập A={1;2;3;4;5;6;7;8} . Gọi S là t...
November 17, 2025

Toán 9-10: Elsu và TelAnnas là xạ thủ nổi tiến...
November 15, 2025

liên trường THPT – Bắc Ninh: Toán 11: Hàm đặ...
November 13, 2025

Talking Tom Gold Run - Talking Ginger (Long play) - Part 2
November 01, 2025

Toán 12: Tham số: Tìm m để hàm số y=3/5 x^5+1/3...
November 01, 2025

Toán 11: Giải vui cùng toán lượng giác: Chứng ...
November 01, 2025

Trong không gian với hệ trục tọa độ Oxyz, cho...
October 28, 2025

Trong không gian với hệ trục tọa độ Oxyz, cho...
October 28, 2025

Đánh giá năng lực: Trong mặt phẳng Oxy nối đ...
October 27, 2025

Toán 11: Bác An làm nghề đồ gỗ muốn thiết k...
October 26, 2025

Toán 12: Hai con tàu và đang ở cùng một vĩ tuy...
October 26, 2025

Toán 12: Tích phân: Một khoang tàu Hyperloop thế ...
October 26, 2025

Toán 11: Bạn Hoàng tham gia giải mật thư. Theo q...
October 25, 2025

Toán 12: Trong không gian Oxyz, cho ba điểm A(2;0;0)...
October 21, 2025
Toán 12: Tiệm cận: Bộ phim Avatar (2009) hiện v...
October 20, 2025

Toán 12: Cho hình chữ nhật ABCD có AD=4cm; AB=6cm....
October 19, 2025

Toán 11-12: Hình học Oxyz và không gian: Một vậ...
October 19, 2025

Microeconomics Help: Babel, an architectural firm, is asp...
October 06, 2025

Toán 11: Xác suất: Một cuộc thi truyền hình, m...
October 04, 2025

Shelly Cashman Excel 2019 | Module 10: SAM Project 1b | W...
August 29, 2025

Illustrated Excel 365/2021 | Module 4: End of Module Proj...
August 26, 2025

Shelly Cashman Excel 2019 | Module 7: End of Module Proje...
August 25, 2025

Excel 2021 In Practice - Ch 3 Guided Project 3-3 - Blue L...
August 24, 2025

THPT Yên Mô B – Ninh Bình 2026: Hàm log: Giá trị...
August 23, 2025

New Perspectives Access 2019 | Module 11: SAM Project 1a|...
August 22, 2025

New Perspectives Excel 365 | Module 4: SAM Project A| Ben...
August 17, 2025

Cross State Trucking Brian - Case Problem 1 - NP_eX_1-2.x...
August 17, 2025

Illustrated Excel 2019 | Module 1: End of Module Project ...
August 06, 2025

Shelly Cashman Excel 2019 | Module 10: SAM Project 1a | F...
July 20, 2025

Excel 2019 In Practice - Chapter 3 Guided Project 3-3 - B...
July 17, 2025

Excel 2019 In Practice - Ch 5 Independent Project 5-4 - W...
July 17, 2025

New Perspectives Excel 365/2021 | Modules 9-12: SAM Capst...
July 15, 2025

New Perspectives Excel 2019 | Module 8: SAM Project 1a | ...
July 12, 2025

cụm 7 – TP HCM - Trong hệ trục tọa độ Oxyz, ...
May 29, 2025

Toán 11: Trong một bệnh viện thông minh, hệ th...
May 28, 2025

Trường Trần Cao Vân (TP HCM): Nghệ sỹ đường...
May 27, 2025

Sở Hậu Giang: Lý thuyết đồ thị: Trong một l...
May 26, 2025

Toán 12: Bà Năm muốn làm 1 thùng đựng nước t...
May 03, 2025

PowerPoint 365/2021 | Module 3: End of Module Project 2 |...
April 13, 2025

Sở Hưng Yên: Cho hình chóp đều.S ABCD có cạnh...
April 09, 2025

Shelly Cashman Excel 365/2021 (Update:2025) | Module 1: E...
April 08, 2025

Toán 11: Cho hình chóp S.ABCD có đáy là hình than...
April 07, 2025

Toán 12: Hàm số: Chương trình mới: Một bản ...
March 18, 2025

THPT Nguyễn Khuyến: Bạn Hoa vừa mê học toán, ...
March 18, 2025

Toán 12: Xác suất có điều kiện: BLOK là một ...
March 06, 2025

Toán 12 (Chuyên đề): Bảng phân phối xác suất...
February 24, 2025

Cost Accounting: Espresso Express operates a number of es...
February 15, 2025

Liên trường THPT – Nghệ An: Toán 12: Phòng khá...
January 29, 2025

Finance Help: Manuel Rios wishes to determine how long it...
January 25, 2025

THPT Chuyên Lê Hồng Phong: Một trang trại mỗi n...
December 23, 2024

Toán 12: Vào năm 2019,một tác phẩm nghệ thuật...
November 22, 2024

Toán 12: Hàm số y=(x^2+ax-3)/(x-b) có đồ thị nh...
November 06, 2024

Cho hàm số y=(3x+a)/(x+b). Tính T=2a+b #toanlop12 #Ti...
October 30, 2024

Tọa độ hóa: Thủ thuật CASIO: Cho hình chóp S....
September 28, 2024